מרסנים ויסקוזיים (Viscous Dampers) – אפיון ופוטנציאל

כתב וערך: אינג' אורן ברזילי, M.Sc

מרסנים ויסקוזיים הם מהפתרונות המובילים לריסון תגובות דינמיות של מבנים, בעיקר כנגד רעידות אדמה ורוחות. מרסן ויסקוזי הוא רכיב פסיבי המיועד לבלימת תנועות יחסיות בין חלקי מבנה. הוא בנוי בצורה צילינדרית וכולל בתוכו בוכנה נעה המחוברת למוט. הבוכנה נעה בתוך גוף מלא בנוזל צמיגי בעל צמיגות גבוהה. בעת רעידת אדמה או חשיפה לרוחות חזקות, נוצרת תנועה יחסית בין שתי נקודות שלד שאליהן מחובר המרסן. תנועה זו מזיזה את הבוכנה בתוך הצילינדר, ודוחסת את הנוזל דרך פתחים מבוקרים בבוכנה. התנגדות הנוזל למעבר מייצרת כוח בלימה שסופג את האנרגיה הדינמית וממיר אותה לחום. מערכת השסתומים והבקרה באלמנט מאפשרת לשלוט על רמת ההתנגדות בהתאם למהירות התנועה. השימוש באלמנט זה אינו משנה את קשיחות המבנה באופן ישיר, אך הוא מוסיף רכיב של ריסון  אשר מקטין את תגובת המבנה בהיבטים של תזוזות, מהירויות ותאוצות. (בתמונה 1 (איור 1) סכמת מרסן של חברת טיילור – חברת אמריקאית מובילה בתחום).

על מנת להמחיש את השפעתם של המרסנים, אציג בסדרת הפוסטים הבאה בחינת תגובת מבנה מסגרות פלדה לרעידת אדמה, בהשוואה למבנה זהה אשר מוקשח באלכסונים הכוללים מרסנים ויסקוזיים. מדובר במבנה בן 3 קומות, בעל מסה כוללת של 550 טון – סכמה טיפוסית למבני תעשייה. (סכמת המסגרת בתמונה 2 (איור1)).

בכדי לבחון את הצורך ביישום מרסנים במבנה נתון נדרש לאפיין את קריטריון התפקוד של המבנה, הקריטריון יכול להיגזר ממספר גורמים כגון: מערכת השלד – הסטות קומתיות מקסימליות. המערכות הקיימות על המבנה – תאוצות או מהירויות מקסימליות. לאחר מכן, יש לאפיין את תפקודו של המבנה הלא מרוסן, לזהות את הפער בין הרצוי למצוי, ליישם מרסנים מתאימים ולבחון את השפעתם על תפקוד המבנה. הליך זה יכול להיות ארוך ומייגע ולכן קיימות שיטות (עליהם ארחיב בהמשך) לאפיין בצורה יעילה ומהירה את סדר הגודל של מנת הריסון הדרושה למבנה ואת הפרמטרים הנדרשים מהמרסן על מנת להגיע לקריטריון התפקוד הדרוש. זאת מבלי להיכנס בשלב ראשון למודלים מורכבים.

בתמונה 3 (איור 1) ניתן לראות את תוצאת אנליזת הדחיפה של המבנה הבסיסי ללא מרסנים, המשמשת כשלב ראשוני לאפיון צורת התנודה והצרכים הדינמיים של השלד. בתמונה 4 קופץ כמה שלבים קדימה מוצגת תגובת מבנה מרוסן (קווים מלאים) לעומת מבנה לא מרוסן (מקווקוים) באמצעות אנליזה דינמית לא ליניארית בזמן, תחת ארבע רעידות אדמה מסונתזות, מותאמות לספקטרום התכן. במקרה זה, הוגדרה מנת ריסון פנימית נמוכה באופן יזום, במטרה להמחיש את הפוטנציאל הגלום בהוספת מרסנים לשיפור תפקוד המבנה.

איור 1. תמונות וגרפים להמחשה

בכדי לאפיין את יעילות יישום מרסנים ויסקוזיים, חשוב מאוד בשלב הראשון לנתח באופן מהיר את הקשר בין מנת הריסון הדרושה במבנה להסטה הקומתית המתקבלת. זאת ניתן לקבל באמצעות מתודות עבודה המקשרות בין הפרמטרים הדינאמיים הבסיסיים של המבנה לסיכון הסיסמי. ניתן לפשט את הבעיה למקרה של דרגת חופש אחת, לפתור את משוואות התנועה של המבנה המפושט ולבצע המרה חוזרת למבנה המציאותי. חשוב לזכור, כי גישה מקורבת זו היא רק כלי אפיון ראשוני שנועד לקרב את המהנדס לפרמטרים הסופיים, אותו הוא ימצא באמצעות ביצוע אנליזות דינמיות לא ליניאריות בזמן.

וכך, ניתן לראות בתמונה 1 באיור הבא את ההסטה הקומתית המקסימלית המתקבלת במבנה (ציר אופקי) ביחס למנת הריסון הנדרשת (ציר אנכי). כך המהנדס מיד יכול להבין האם יש סבירות שיצליח להגיע לקריטריון התפקוד באמצעות הגדלת מנת הריסון. כאשר מנת הריסון עוברת את רף 35%, מלבד הגדלת מנת הריסון יש צורך לטפל בפרמטרים נוספים במבנה, כגון: מסות, קשיחות וחוזק. ניתן לראות שבעבור מבנה זהה בעל מסות גבוהות יותר – 750 ו-950 טון יהיה צורך במנות ריסון גבוהות יותר בהתאמה על מנת להגיע להסטה קומתית מקסימלית נתונה.

בשלב השני, צריך לקשר בין מנת הריסון הנדרשת למבנה לבין הפרמטרים הטכניים של המרסן, ובמקרה זה מקדם הריסון הוא הפרמטר העיקרי שבעזרתו ניתן לדעת באמצעות היצרנים האם הוא ריאלי לייצור. בתמונה 2 באיור הבא ניתן לראות את הגרף המקשר בין אחוז ההסטה הקומתית המקסימלית (ציר אופקי) למקדם הריסון (ציר אנכי). כמצופה מקדם הריסון יהיה גבוה יותר ככל שמשקל המבנה עולה.

בשלב השלישי, אני מציע כיול נוסף של הפתרון – עדיין ניתן במודל פשוט דו-ממדי אך הפעם באמצעות אנליזות דינמיות בזמן ביחס לרעידות מסונתזות מותאמות לספקטרום התגובה. רעידות אלו אינן מציאותיות –  באמצעות טורי פוריה מבוצעת התאמה על ידי שינוי אמפליטודות התדרים, כדי לייצר רעידות המותאמות היטב לספקטרום התכן. בתמונה 3 באיור הבא ניתן לראות את ספקטרום התגובה של 4 רעידות שסינתזתי ביחס לספקטרום התכן – נחמד לראות שגם לאחר שכל הרעידות הותאמו לספקטרום אחד כמעט באופן מושלם תפקוד המבנה משתנה לעתים בצורה דרמטית בכל רעידה.

איור 2. גרפים להמחשה

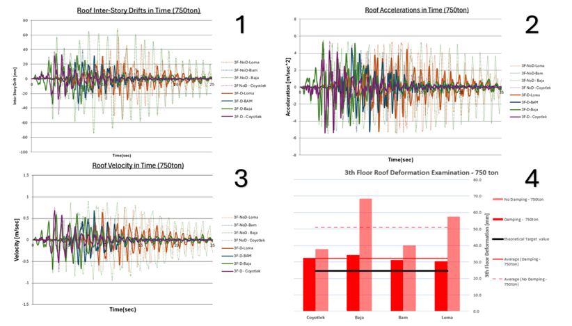
מסכם את תוצאות מקרה הבוחן למבנה תעשייה במשקל של 750 טון, תוך התמקדות בהשפעת המרסנים על הזזות, מהירויות ותאוצות. חשוב לזכור כי האילוצים בכל מבנה שונים, ולא תמיד הם נובעים מעמידות השלד בלבד. לעיתים נדרש ברעידת אדמה להבטיח גם את תקינות המערכות החיוניות במבנה, שיכולות להיות רגישות במיוחד לתאוצות ולמהירויות.

ניכרת השפעה משמעותית של המרסנים בכל ההיבטים – הזזה, מהירות ותאוצה (תמונות 1 עד 3 באיור הבא) – כאשר אפקט הריסון מתגבר עם התקדמות הרעידה וצבירת האנרגיה במבנה. אך לעומת מרסן המסה הטונדת בסדרת הפוסטים הקודמת, השפעתו מיידית עם תגובתו של המבנה ולכן מתקבלת השפעה על הערכים המקסימליים בזמן ולא רק על הריסון הכללי. בבחינת ההפחתה בהזזות (תמונה 4) לעומת מבנה לא מרוסן בארבע רעידות סינתטיות, המותאמות לספקטרום התכן, נמצא כי המרסנים הביאו בממוצע להפחתה של כ־40% בהסטה המקסימלית (בגרף: קו אופקי אדום מקווקו – מבנה לא מרוסן, קו אופקי אדום מלא – מבנה מרוסן). בהשוואה לתחזית הראשונית (קו אופקי שחור) לפי מנת הריסון המאפיינת התקבלו הזזות גבוהות בכ־20% מהמצופה, תזכורת לחשיבותו של שלב ניתוח מעמיק נוסף.

בשלב הבא נדרש לבצע מודל מרחבי מלא, לתאם תכנון עם כלל יועצי הפרויקט, ולמקם את המרסנים באופן אופטימלי על בסיס תוצאות המודלים וניתוח רגישות. המרסן הוויסקוזי הוכיח יעילות גבוהה מאוד ופוטנציאל משמעותי לשיפור ביצועים סיסמיים. כיום רוב המרסנים בשוק הם מכאניים לחלוטין ופשוטים יחסית, אך כשמבינים את אופן פעולתו ניכר שניתן בקלות יחסית לשנות את הפרמטרים הטכניים. מכאן אני מזהה פוטנציאל גבוה – אם תכונות המרסן יותאמו בזמן אמת במהלך רעידה, יעילותו יכולה להיות אופטימלית ובמחיר דומה. מקווה לחידושים בתחום זה בשנים הקרובות.

איור 3. גרפים להמחשה

Facebook
LinkedIn
Email
Print
WhatsApp

מאמרים נוספים